Kamis, 18 April 2013

BAHAN BAKAR BATUBARA


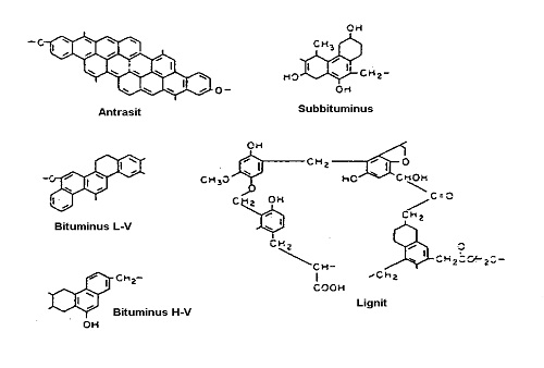
Pembagian Peringkat Batubara

a.    Lignit
-         coklat terang sampai hitam
-         Kandungan air tinggi
-         Sifat kayu masih terlihat (woody) atau unconsolidated
-         Nilai kalornya lebih tinggi dari pada gambut
b.    Subbituminus
-         VM 40%
-         Hitam tetapi tidak mengkilat
-         Kandungan air rendah
-         Nilai kalornya lebih tinggi dari pada lignit
-         Lunak dan mudah pecah bila diekspos
c.     Bituminus
-         VM Minimum    14%
-         VM tinggi           31%-40%
-         VM medium       22%-31%
-         VM rendah        14-22%
-         Kandungan air rendah
-         Nilai kalornya meningkat dengan penurunan moisture
d.    Semi-antrasit
-         VM         8%-14%
-         Terbakar dengan sedikit asap
e.     Antrasit
-         VM lebih kecil dari 8%
-         Relatif keras
-         Terbakar dengan tidak mengeluarkan asap


Parameter Pengujian Klasifikasi Batubara

Pengujian untuk menentukan klasifikasi batubara secara umum dapat dibedakan menjadi tiga jenis pengujian yaitu :
1.    Analisis kimia, proksimat dan ultimat
2.    Pengujian secara teknologi, simulasi unjuk kerja batubara pada pemanasan
3.    Analisis petrografi

Analisis Kimia

Untuk mengklasifikasikan batubara, dua macam analisis yang harus dilakukan adalah :

1.    Analisis proksimate, memberikan informasi relatif tentang komponen batubara jika dipanaskan

Ø    Moisture (air/lengas).
Moisture dapat dispesifikasi dalam beberapa basis seperti (lihat skema di bawah) :
                        i.      Air total dalam ROM
                        ii.      Kandungan air pada air-dried basis
                      iii.      Moisture holding capacity (MHC) yaitu kandungan air ekuilibrium pada 30oC dan HR 96%.
                        iv.      Natural bed moisture, berkorelasi dengan MHC.

Ø   Volatile matter (zat terbang), jumlah batubara yang terkonversi menjadi gas dan uap minyak (tar) jika dipanaskan .

Ø    Ash (abu), sisa dari batubara yang dipanaskan/dibakar.
Batubara sebenarnya tidak mengandung ash (abu) tetapi mineral matter (MM). Mineral ini akan terkonversi pada saat dibakar sehingga menjadi abu.

Kandungan MM dalam batubara dapat diperoleh dengan perhitungan, yang paling sederhana adalah :

MM = 1.1 A

Rumus lainnya yang dapat digunakan adalah :

PARR                            MM = 1.08 A – 0.55 S

Ø    Fixed Carbon (karbon tetap), sisa batubara setelah dikurangi moisture, VM dan abu.
FC = 100 – VM (%) – Moist. (%)


 2. Analisis ultimate atau unsur, memberikan informasi tentang unsur-unsur penyusun batubara yang meliputi C, H, O, N dan S. Kandungan Oksigen mungkin merupakan indikator yang paling signifikan dari sifat kimia batubara, yaitu untuk keperluan penerapannya di pembakaran, pencairan, dan pengkokasan, serta untuk menentukan peringkat.

Kandungan oksigen secara tradisi dihitung sebagai oxygen by different (O diff) yaitu porsi sisa batubara setelah dikurangi C, H, N dan S. Kandungan oksigen diperoleh secara tidak langsung sehingga mengakumulasi semua kesalahan yang terjadi dalam analisis unsur, dan dalam penentuan basis mineral-matter atau basis bebas mineral matter. 

struktur unsur batubara

Nilai kalor  (calorific value)

Nilai kalor kotor (gross CV) ditentukan dengan membakar sejumlah batubara pada kondisi terkontrol (biasanya dalam kalorimeter) dimana air yang terbentuk berada dalam bentuk likuid pada akhir proses.
Nilai kalor bersih (net CV) adalah nilai kalor kotor yang dikoreksi dengan panas laten penguapan air yaitu dengan mengurangkan 572 kal/g (1030 btu/lb) air untuk setiap satuan berat batubara dari nilai kalor kotor. Net CV penting untuk pasar komersial karena memberikan estimasi yang lebih akurat dari CV batubara pada kondisi actual. Harga ini dapat dihitung dari gross CV atau sebaliknya bila diketahui kandungan air serta hydrogen dalam batubara.

Perhitungan nilai kalor batubara :

DULONG               Btu/lb = 14.544 C + 62.028 (H – O/8) +405 S
C, H, O dan S : fraksi berat karbon, hydrogen, oksigen dan sulfur dalam batubara
 

Basis Analisis

Hampir semua analisis batubara dilakukan dengan sample yang telah dikeringkan di udara, dan hasilnya dilaporkan sebagai basis tersebut (Air Dried Basis, ADB).

Contoh beberapa basis analisis yang digunakan untuk keperluan klasifikasi batubara adalah :
1.  Dry Basis (db) – data disajikan dalam bentuk persentase setelah batubara dikeringkan
2.  Dry, ash-free (daf) basis – batubara diasumsikan telah bebas air dan bebas abu
3.  Dry, mineral matter-free (dmmf) basis – batubara diasumsikan telah bebas air (kering), bebas mineral. Oleh sebab itu, diangap pengujian hanya terhadap senyawa organik batubara.
4. Moist, ash-free (maf) basis – Asumsi bahwa batubara telah bebas abu dan masih mengandung moisture
5. Moist, mineral matter-free (mmmf) basis – batubara dianggap telah bebas mineral tetapi masih mengandung air.




Tingkat (grade) batubara

Batubara diklasifikasikan dengan istilah tingkat/grade yang dirdasarkan pada kandungan abu, temperatur leleh abu, kandungan sulfur dan adanya impurities lainnya.

Pengotor batubara (coal impurities)

Pengotor dalam batubara dapat diklasifikasikan menjadi dua tipe :
a.     Inherent
-         mineral matter yang bercampur secara intim dengan batubara
-         sulit terlihat tanpa alat mikroskop
-         berasal dari beberapa sumber seperti :
                             i.      adsorbsi anorganik selama pertumbuhan tanaman
                             ii.      pengisian sel tanaman pada pembentukan gambut
                             iii.      butiran halus yang terdeposisi oleh gerakan perairan
-         secara umum tidak dapat dipisahkan secara fisik

b.    segregate
-         material tidak dapat terbakar yang berada dalam partikel diskrit
-         biasanya berasal dari sedimen dan sisa batuan penambangan
-         terdapat sebagai kelompok, unggun, pengisi dll.

Kandungan sulfur batubara

Sulfur dalam batubara terdapat dalam tiga bentuk yaitu :

a.  sulfur organic seperti mercaptan (RHS), sulfida atau tioeter (RSR’), disulfida (RSSR’), aromatik (tiopene). Sulfur organic merupakan bagian dari struktur batubara yang tidak dapat dibersihkan secara fisik

b.  mineral sulfida dalam fraksi anorganik (piritik sulfur) seperti pirit (FeS2) dan marcasit (FeSx). Piritik merupakan bentuk dominan dari sulfur dan mudah dibersihkan secara fisik.

c.  mineral sulfat dalam fraksi anorganik (SO3 sulfur) seperti calsium sulfat (gypsum). Mineral sulfat berjumlah sedikit, larut dalam air dan mudah dibersihkan dari batubara.

Kandungan Sulfur Organik sangat susah ditentukan oleh sebab itu sering digunakan metode tidak langsung yaitu :

          Sorg = S total – (S pirit – S SO3)








Tidak ada komentar:

Posting Komentar